Анжелика продолжает смешить народ с помощью бессмысленных формул лжефизико-математики в своей статье “О том, как из частицы с нулевой массой сделать частицу с массой”.
Ещё раз поясняю почему формулы лжефизико-математики бессмысленны. Неестественность, а наоборот мистичность этих формул понять очень просто. Умножение, это не некое мистическое действо, а способ сложения чисел. Умножать можно только именованное число на отвлеченное, так как умножить величину — это значит, взять её слагаемые несколько раз и найти сумму. В произведении всегда получается именованное число, однородное с множимым и единицы измерения также однородные с множимым. (Это математика в начальной школе.) То есть, умножить массу на массу, брать скорость в квадрате, время в квадрате, и множество других действий принятых лжефизиками НЕВОЗМОЖНО. Лжефизики – мистики. Они верят, что в дурацких антиматематических формулах скрыт некий замысел создателя мира, в которого они явно или тайно верят… Далее текст Анжелики:
То, что у фотона нет массы, опять-таки, измыслил Эйнштейн. С массой фотон у него не лез в его знаменитое выражение энергии через импульс. Он, правда и без массы в эту формулу не лез. Поскольку к фотону, после его же заявлений об абсолютной скорости света, никак нельзя было применить корень волшебный. А со скоростью с корень волшебный равен нулю, и тогда у фотона и импульс с энергией исчезают.
Поэтому, для фотона формула, связывающая энергию и импульс совсем другая, и без всякого релятивизма.
Н.П Калашников, М.А. Смондырев, “Основы физики”. “Лаборатория знаний”, 2017г.
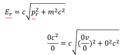
Во-первых, даже положив в этом соотношении m=0, мы ничего такого не получим, поскольку само выражение релятивистское и выглядит, на самом деле, как:
Подставив в волшебный корень c вместо v, и нуль вместо массы мы получим волшебный корень равный нулю, и:
Поэтому, во-вторых, E=pc – совершенно нерелятивистское выражение, которое плавно перетекает в грубую подстановку E=hV, где h – постоянная Планка; V – частота.
В-третьих, поскольку массы нет, и энергии покоя тоже не получается.
Н.П Калашников, М.А. Смондырев, “Основы физики”. “Лаборатория знаний”, 2017г.
Тут, мы вынуждены немного отвлечься, и чуть-чуть вернуться назад.
1. Еще при рассмотрении частиц, небольшие непонятки возникают при определении в какой же системе происходят релятивистские изменения энергии и импульса частицы. С одной стороны, всем известно, что все растет в движущейся системе. С другой стороны, все рассмотрения происходят для частиц, покоящихся в подвижной системе. Где, поскольку они неподвижны – у них есть энергия покоя. То есть, в подвижной системе – полный инвариант. А там, где частица движется вдоль оси 0х (вместе с системой), как раз, и происходят все чудеса.
Н.П Калашников, М.А. Смондырев, “Основы физики”. “Лаборатория знаний”, 2017г.
Не трудно сообразить, что все чудеса происходят в нашей системе.
2. Мы когда-то уже рисовали прямоугольный треугольник по формуле зависимости энергии и импульса, с импульсами Эйнштейна. Поскольку, импульс величина векторная, большинство импульсов треугольника физического смысла не имеют.
Зато треугольник, вполне себе, строится.
И вернемся к треугольнику со сторонами из энергий.
Треугольник наше – всё!
Заметили, что один из катетов относится к подвижной системе, а две другие стороны – к неподвижной. У частицы в этих системах, скорость разная.
А у света должна быть везде одинаковая. Откуда следует, что все три стороны подобного треугольника должны быть одинаковыми. А кто сказал, что треугольник обязательно должен быть прямоугольным? Может, он равносторонний. На всякого неуемного творца, всегда найдется другой неуемный творец.
Нормально используем фотон с массой, и выстраиваем треугольник без всяких «предельных случаев». Величина угла такого треугольника известна.
А дальше совсем все просто:
И тут тоже выражение энергии через импульс фотона выходит нерелятивистским.
Таким образом, мы соблюли все условия.
1. У нас треугольник. Хотя, и предельный случай (как и было).
2. Скорость света во всех системах одинакова.
3. Массу покоя найдем у двух одновременных фотонов – относительно друг друга они будут неподвижны, а значит могут иметь массу (энергию) покоя.
P/S: Граждан с отсутствием чувства юмора – просьба не беспокоиться. Никакой теорией наши выкладки не являются. Являются сплошным ерничаньем на счет буйных фантастов. Но, если кто хочет, массой фотона вполне можно пользоваться.
P/S: Ребята, угомонитесь уже лишать фотон массы покоя, на основании того, что он у Вас покоя не имеет. У Вас покоя и движущийся электрон не имеет. То есть, в вашей системе он тоже безмассовый получается. Зато, относительно самих себя они неподвижны, и стало быть масса в наличии. А движущаяся система может вовсе и отсутствовать. Поскольку оба они движутся в Вашей системе.
И всякую бредятину, типа масса – это кинетическая энергия тоже лучше вслух не произносить.

I needed to thank you for this very good read!! I definitely enjoyed every bit of it.
I have you book-marked to look at new stuff you post…
What’s up everyone, it’s my first visit at this web site, and paragraph is truly fruitful
in support of me, keep up posting these content.
Hi colleagues, its enormous post regarding tutoringand completely defined, keep it up all the time.
contact page http://round-the-world.org/ mail sergeev50@list.ru
Does your blog have a contact page? I’m having problems
locating it but, I’d like to shoot you an e-mail. I’ve got some suggestions for your blog you might be interested in hearing.
Either way, great blog and I look forward to seeing
it develop over time.
This piece of writing is genuinely a pleasant one
it assists new net viewers, who are wishing for blogging.