Прежде чем читать работу Анжелики надо ещё раз подчеркнуть, что в формулах как бы физики, а фактически изуродованной паранойяльными мыслителями математики, уродство формул достигается бессмысленными действиями над физическими параметрами: масса умножается на массу, время на время, скорость на скорость и тому подобное… В реальном мире математика не более чем инструмент бухгалтерии. Конечно, математик, из тех что «продвигает» физику, может быть не согласен с этим утверждением, но может ли он взять, например, и извлечь корень и из двух человек, что абсолютно явная для всех нормальных людей глупость.. Получится не существующий в природе объект, хоть он и как бы отражается набором математических знаков…
Так же, например, умножение именованных чисел (здесь можно взять практически любую формулу современной лжефизико-математики, E = mc2…), — вопиющая нелепость которую почему-то мало кто видит. Умножать можно только именованное число на отвлеченное, так как умножить величину — это значит, взять её слагаемые несколько раз и найти сумму. В произведении всегда получается именованное число, однородное с множимым и единицы измерения также однородные с множимым. (Это математика в начальной школе.) Далее работа Анжелики где она демонстрирует, что вычисления по бессмысленным формулам энергии и импульса, бессмысленны…
“О столкновениях шариков…“
В расчетах столкновений шариков, у нас не учитывается куча нюансов. В результате, например, при упругом столкновении шарика со стенкой, стенке достается двойной импульс, а с третьим импульсом улетает отразившийся шарик. Не может же он отлетать без импульса. При этом, вещают что-то о сохранении энергии и импульса.
Для простоты будем рассматривать центральные лобовые соударения.
1. Давайте при таких расчетах рассказывать про передачу энергии не будем.
Во-первых, энергия – это расчетная величина, циферки. Циферки передать нельзя.
Во-вторых, энергия – это та же работа. Над ныне движущимся шариком, когда-то была совершена работа, то есть, эта энергия уже затрачена. Ее уже нет. Есть импульс (количество движения), и расчетная величина Еk=mv^2/2.
Например, при неупругих столкновениях про энергию и не говорят, ссылаясь на то, что она в данном случае не сохраняется, а переходит в тепло и т. д. Представили? Как циферки в тепло переходят? Нет, тут нужно говорить о том, что налетающий с неким импульсом шарик, способен приложить силу к другому шарику. Но уже исключительно из своих нынешних реальных, а не расчетных способностей. То есть, импульса.
А если бы он передал свою расчетную энергию, то мы бы получили
Другими словами, энергию передавать нельзя, поскольку у каждого из состояний системы – она своя.
2. Теперь про упругие столкновения.
Во-первых, упругое столкновение – это совсем другое явление. Здесь кроме деформации в первый момент, происходит «расправление» этой деформации во второй. Наблюдается совсем другая расстановка сил, и совершенно разный результат не в смысле количественный, а в смысле – физическом. Если при неупругом столкновении суммарная конструкция обязательно попрет в том же направлении что и налетающий шарик, то при упругом столкновении возможны варианты.
Во-вторых, наблюдается зависимость величины деформации от массы. В том смысле, что бОльшая масса вследствие свой бОльшей инерционности – деформируется меньше.
На этом этапе, картина похожа на неупругое столкновение. Скорость пока равна нулю. И в перспективе – единый импульс.
Но тут же наступает третий момент. Предположительно, они обретают единую скорость, но расправляющиеся деформации расталкивают их в разных направлениях.
Сохранение импульса в системе до соударения и после очевидно.
*
Что касается ситуации со стенкой и шариком:
При абсолютно упругом соударении, стенка, имеющая глобально бОльшую массу, чем шарик даже не думает деформироваться. Все процессы происходят в шарике. Он деформируется (при этом останавливается), и тут же расправляется. Получает точно такой же пинок, но в обратную сторону. Отлетает с той же скоростью, и со своим же импульсом. Ну, или при не абсолютно упругом ударе – с немного меньшими. То, что приходится на стенку, расползается по ней некоторой деформацией и нагревом. Вследствие незапланированного движения частиц ее составляющих.
*
Ситуация, когда налетающий шарик имеет большую массу:
Вот здесь у нас, как раз, феномен блюда и проявляется.
Маленький шарик не может оказывать сколько-нибудь серьезное препятствие для большого шарика, и вызывать в нем деформации. И сам не особо деформируется. На него просто сваливается импульс. Маленький шарик получает скорость большого, и импульс в соответствии со своей массой.
Большой шарик, лишившись части импульса продолжает движение с меньшей скоростью.
*
И наконец шарики одинаковой массы:
Принцип тот же, что и в случае налета большего шарика на меньший, с той только разницей, что второй шарик получит весь импульс. Поскольку масса его такая же, и скорость он приобретет ту же. Первый шарик, лишившись импульса – остановится.
Итого, при упругих столкновениях мы имеем два разных механизма. То есть, по сути – это два разных явления. Поэтому может, не стоит их объединять в один.
И уж точно не стоит «передавать» при этом энергию.
________
Честно сказать, товарищи, которые налево и направо «передают энергию», в том числе и внутреннюю, уже замучили. Давайте будем учиться воспринимать физику на физическом уровне, что ли. В смысле, интуитивно.
1. В каждом доме есть стенки. А многие еще могут разогнаться до скорости 3м/с. Нужно разогнавшись «остановиться в стенку». То есть, банально влипнуть.
Почувствовали как донесли свою скорость стенке? А теперь попробуйте почувствовать, как Вы ей донесли скорость в квадрате, деленную на два. Тому, у кого получилось почувствовать скорость в квадрате, деленную на два, лучше физикой не заниматься. Лучше пойти куда-нибудь в экстрасенсы, или начать писать «фэнтези».
2. Теперь представим, что у нас есть два покоящихся одинаковых шара по 5 кг.
На первый налетает шарик с импульсом 20кг*м/с, а на второй тоже налетает шарик, но с импульсом 40кг*м/с. Очевидно, что изменения во втором случае будут больше выражены. А чего ради, собственно? Энергию оба шара получат одинаковую.
Опять же, те у кого изменения в состоянии шаров резко стали одинаковыми после уточнения про одинаковую энергию, могут начинать считать себя лучшими учениками Эйнштейна.
3. Пытаемся сдвинуть свой холодильник с места, не прикладывая к нему силу, то есть, не касаясь его; не пытаясь, разогнавшись, приложить к нему импульс. Представляем себе свою скорость в квадрате, деленную на два – и двигаем. Не касаясь.
Может быть, на этом этапе уже начнет возникать понимание, что первоначально на объект воздействия приходится сила или импульс. В результате чего, и происходят изменения в состоянии объекта. А формулу энергии можно даже не помнить.
Судя по всему, с интуитивным восприятием физики, все же, иногда плохо. Некоторые без расчетов никак не могут.
Тогда смотрим.
Т.И. Трофимова, “Курс физики”, “Высшая школа”, 1985г.
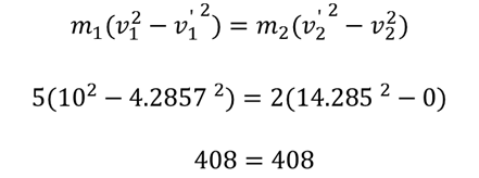
Формула (15.4) имеет явные признаки принадлежности к формулам, описывающим энергию, поскольку присутствуют и m, и v^2. Но решить это уравнение невозможно, поскольку пока никак не известны такие же параметры после столкновения (они обозначены штрихом). Поэтому сначала придется «передавать импульс», а не энергию. То есть, сначала решить уравнения (15.6) и (15.7). Ну давайте чего-нибудь посчитаем. Пусть шар 5кг со скоростью 10м/с налетает на неподвижный шарик массой в 2 кг. Поскольку второй шар у нас покоится, то воспользуемся формулами (15.8) и (15.9).
Импульс и энергия в системе до столкновения и после одинаковые. Но, повторимся: рассчитать передачу энергии без расчета импульса – затруднительно.
И вернемся к формуле (15.4)
В общем, кто такое 408 сразу и не придумаешь. Вероятно, это докинетическая энергия второго шара после столкновения. Ну, если 408 разделить на два, то получим кинетическую энергию второго шара после соударения – 204Дж. Только не ясно чему оно с другой стороны равно.
*
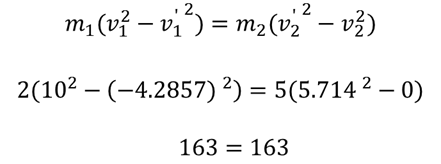
Теперь решим задачку, в которой наоборот маленький шар налетает на большой, и тоже со скоростью. 10м/с.
Математически красиво. С физической точки зрения – бред. Большой шарик получает импульс гораздо больший (28.57кг*м/с), чем импульс, имевшийся изначально (20кг*м/с). Математические уловки с минусом здесь не пройдут. Если шар летит с таким импульсом, то он с ним и летит, независимо от того, что мы там посчитали «для системы». Маленький шарик тоже полетит не без импульса. В какую сторону – это абсолютно не важно.
Итого в системе 37.14кг*м/с импульса после столкновения. (Если кому минус при маленьком шарике не дает покоя, то пусть на него с другой стороны посмотрит (со спины). Шарик штатно будет лететь слева направо, и никакого минуса). (Или пусть представят себе, как в системе у них над головой, навстречу друг другу летят два самолета с примерно одинаковыми импульсами, но в системе у них над головой никакого импульса нет, поскольку они их математически сложили. Это исключительно энергия гул издает.)
Возвращаемся к формуле (15.4)
– столь же непонятное число. «Докинетическая энергия второго шара после соударения»?
Равенство (15.5) тоже довольно сложно объяснить. Что с физической точки зрения, может означать сумма скоростей шара в разное время? Например, мы сегодня в магазин бодро шагаем со скоростью 5км/ч. Завтра подморозит, будем осторожно ползти туда же со скоростью 3км/ч. Что будут означать 8 км/ч с физической точки зрения – ничего. Это даже не средняя скорость.
Итого:
1. рассчитать передачу энергии – мы не можем.
2. в случае налетающего шарика с меньшей массой, при сохраненной энергии – импульс не сохраняется.
P/S: можем продолжить математическую вакханалию.
Пусть случай, когда маленький шарик налетал на большой, получил продолжение. Маленький шарик улетающий в обратную сторону, просто, улетел со стола. То есть, выпал из системы. Теперь в системе есть только движущийся с полученным импульсом большой шар (5кг). Однако, на его пути в этой системе завалялся еще один шар. И он еще больше – 7кг. События будут развиваться так:
Импульс у нас математически сохранился, правда больший (28.57кг*м/с), чем был изначально в прошлом действии (20кг*м/с)
Импульс бОльшего шара (33.33кг*м/с) стал больше начального импульса (28.57кг*м/с).
Энергия, как мы уже поняли, сохранилась, но она значительно меньше той. которая была в первом действии (100Дж против 81.62Дж).
