Первые кроманьонцы Евразии имели в своем геноме мужские Y-хромосомные гаплогруппы F, CT, C1a, C1b, IJ. 15-10 тысяч лет назад генетический состав населения Европы и Азии изменился. В Европе в основном остались носители Y-хромосомных гаплогрупп I2 и I1, а в Азии C, Q и некоторых других. Ученые разделили всех охотников-собирателей на две основные группы: 1) Европейские охотники-собиратели WHG и 2) Азиатские охотники-собиратели EHG, кавказские охотники-собиратели CHG. Примерно 9-10 тысяч лет назад с Передней и Малой Азии на территорию Евразии пришли земледельцы (EF). Позже в эпоху Бронзы в Европу пришли кочевые народы их понтийских степей генетически EHG) и CHG, по Y-ДНК были в основном носителями мужских гаплогрупп R1b.
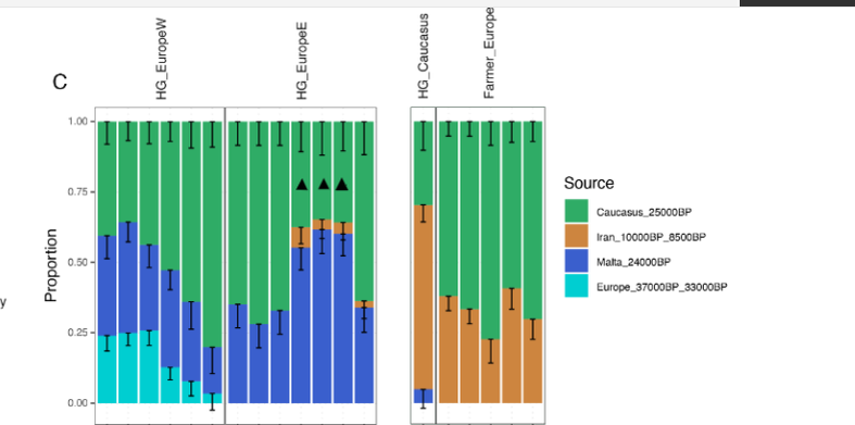
В научной статье большой международной группы палеогенетиков, уточнены представления о процессах движения носителей определённых геномов на территории Евразии (Allentoft, Sikora, et al., 2022). Ученым удалось выявить до сих пор генетически ранее не описанных охотников-собирателей Восточно – Европейской равнины, которые внесли существенный вклад в происхождение европейских народов (Ямной культуры и Западно- Европейской культуры боевых топоров/шнуровой керамики). Эти охотники – собиратели в послеледниковую эпоху жили на Восточно – Европейской равнине, от северного побережья Черного моря на юге и до южного побережья восточной Балтики и Северного Урала, и от левобережья Днепра на западе до бассейна Дона на востоке. Однако, выделенная ими популяция охотников-собирателей также была неоднородна. Как видно на рисунке №1 ниже, геномы EHG со Среднего Дона и Запада России (три правых столбца, которые отмечены черными треугольниками в колонке HG_EuropeE) отличаются от остальных четырех (три столбца слева от них имеют скандинавское происхождение, а один справа от них – украинское). Отличия эти связаны с существенно большей долей в 3-х русских геномах примеси северных евразийцев (ANE) со стоянок, сходных с Malta (55-60%, синий цвет), а также базальных евразийцев с Иранского плоскогорья (от 5 до 10%, коричневый цвет) и (зеленый цвет) генетических примесей с Кавказа (30-35%). Согласно выводам авторов эти популяции и дали начало потом поздней Ямной археологической культуре и культуре боевых топоров/шнуровой керамики. По их данным культура шнуровой керамики/боевых топоров включала в себя ~ 65% генома, связанного с охотниками-собирателями со Среднего Дона и ~35% их предков связаны с охотниками-собирателями с Кавказа. Полоса проживания этих охотников – собирателей Восточно – Европейской равнины, как выяснили палеогенетики, оказалась свободна от следов неолитических земледельцев с юга. Хотя к западу и востоку от нее уже 10-12 тысяч лет назад переселенцы с Передней Азии и Ближнего Востока активно осваивали Европу и Азию.
